Online Database of Chemicals from Around the World

S-Nitroso-Coenzyme A
[CAS# 82494-50-6]

Suppliers
CAS#: 82494-50-6
Product: S-Nitroso-Coenzyme A
No suppilers available for the product.
Identification
Name S-Nitroso-Coenzyme A
Synonyms [(2R,3S,4R,5R)-5-(6-Aminopurin-9-Yl)-4-Hydroxy-3-Phosphonooxy-Tetrahydrofuran-2-Yl]Methyl [Hydroxy-[(3R)-3-Hydroxy-2,2-Dimethyl-4-[[3-(2-Nitrososulfanylethylamino)-3-Oxo-Propyl]Amino]-4-Oxo-Butoxy]Phosphoryl] Hydrogen Phosphate; [(2R,3S,4R,5R)-5-(6-Amino-9-Purinyl)-4-Hydroxy-3-Phosphonooxy-2-Tetrahydrofuranyl]Methyl [Hydroxy-[(3R)-3-Hydroxy-2,2-Dimethyl-4-[[3-[2-(Nitrosothio)Ethylamino]-3-Oxopropyl]Amino]-4-Oxobutoxy]Phosphoryl] Hydrogen Phosphate; [(2R,3S,4R,5R)-5-(6-Aminopurin-9-Yl)-4-Hydroxy-3-Phosphonooxy-Tetrahydrofuran-2-Yl]Methyl [Hydroxy-[(3R)-3-Hydroxy-4-Keto-4-[[3-Keto-3-[2-(Nitrosothio)Ethylamino]Propyl]Amino]-2,2-Dimethyl-Butoxy]Phosphoryl] Hydrogen Phosphate
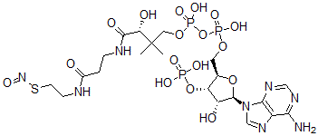
Molecular Structure CAS#: 82494-50-6, S-Nitroso-Coenzyme A
Molecular Formula C21H35N8O17P3S
Molecular Weight 796.53
CAS Registry Number 82494-50-6
SMILES [C@H]1(O[C@@H]([C@@H](O[P](=O)(O)O)[C@H]1O)CO[P](O[P](OCC([C@@H](O)C(=O)NCCC(=O)NCCSN=O)(C)C)(=O)O)(=O)O)[N]2C3=C(N=C2)C(=NC=N3)N
InChI 1S/C21H35N8O17P3S/c1-21(2,16(32)19(33)24-4-3-12(30)23-5-6-50-28-34)8-43-49(40,41)46-48(38,39)42-7-11-15(45-47(35,36)37)14(31)20(44-11)29-10-27-13-17(22)25-9-26-18(13)29/h9-11,14-16,20,31-32H,3-8H2,1-2H3,(H,23,30)(H,24,33)(H,38,39)(H,40,41)(H2,22,25,26)(H2,35,36,37)/t11-,14-,15-,16+,20-/m1/s1
InChIKey CNWRHTNOZSOAKE-IBOSZNHHSA-N
Properties
Density 1.997g/cm3 (Cal.)
Market Analysis Reports
List of Reports Available for S-Nitroso-Coenzyme A
Related Products
2-(1-Methylcyclohexyl)Ethanol  Cyclotropium  Nickelous 3-(anilinomethyl)-1,3-benzoxaz...  1H-Purine-6-Sulfonamide  6-(Ethylsulfonyl)Purine  6-(Butylsulfonyl)Purine  2-Ethoxy-N-(purin-6-yl)ethanesulfonamide  N-(Purin-6-Yl)-alpha-Toluenesulfonamide  ((4-Bromobenzyl)Oxy)Acetic Acid  (3-Amino-5-Oxo-2(5H)-Furanylidene)-Aceta...  4-Benzylhydroxybenzoic Acid 2-Hydroxy-3-...  1,1-Dibutyl-3-Methyl-3-Phenylurea  Methylsulfanyl-(4-Tert-Butylphenyl)Metha...  4-Aminobenzo[a]Pyrene  11-Aminobenzo[a]Pyrene