Online Database of Chemicals from Around the World

Surfactin
[CAS# 24730-31-2]

Suppliers
Creative Peptides USA Inquire  
+1 (631) 624-4882
info@creative-peptides.com
Chemical manufacturer
chemBlink massive supplier since 2016
Identification
Name Surfactin
Synonyms 3-[(3S,6R,9S,12S,15R,18S,21S,25R)-9-(Carboxymethyl)-3,6,15,18-Tetraisobutyl-12-Isopropyl-25-(10-Methylundecyl)-2,5,8,11,14,17,20,23-Octaoxo-1-Oxa-4,7,10,13,16,19,22-Heptazacyclopentacos-21-Yl]Propanoic Acid; 3-[(3S,6R,9S,12S,15R,18S,21S,25R)-9-(Carboxymethyl)-3,6,15,18-Tetraisobutyl-12-Isopropyl-2,5,8,11,14,17,20,23-Octaketo-25-(10-Methylundecyl)-1-Oxa-4,7,10,13,16,19,22-Heptazacyclopentacos-21-Yl]Propionic Acid; C12043
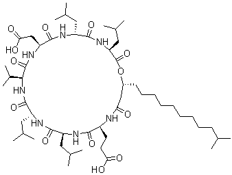
Molecular Structure CAS#: 24730-31-2, Surfactin
Molecular Formula C53H93N7O13
Molecular Weight 1036.36
CAS Registry Number 24730-31-2
SMILES [C@@H]1(OC(=O)[C@@H](NC(=O)[C@H](NC(=O)[C@@H](NC(=O)[C@@H](NC(=O)[C@H](NC(=O)[C@@H](NC(=O)[C@@H](NC(=O)C1)CCC(O)=O)CC(C)C)CC(C)C)C(C)C)CC(O)=O)CC(C)C)CC(C)C)CCCCCCCCCC(C)C
InChI 1S/C53H93N7O13/c1-30(2)20-18-16-14-13-15-17-19-21-36-28-43(61)54-37(22-23-44(62)63)47(66)55-38(24-31(3)4)48(67)57-40(26-33(7)8)51(70)60-46(35(11)12)52(71)58-41(29-45(64)65)50(69)56-39(25-32(5)6)49(68)59-42(27-34(9)10)53(72)73-36/h30-42,46H,13-29H2,1-12H3,(H,54,61)(H,55,66)(H,56,69)(H,57,67)(H,58,71)(H,59,68)(H,60,70)(H,62,63)(H,64,65)/t36-,37+,38+,39-,40-,41+,42+,46+/m1/s1
InChIKey NJGWOFRZMQRKHT-WGVNQGGSSA-N
Properties
Density 1.038g/cm3 (Cal.)
Boiling point 1268.309°C at 760 mmHg (Cal.)
Flash point 720.847°C (Cal.)
Safety Data
SDS Available
Market Analysis Reports
List of Reports Available for Surfactin
Related Products
1-Chloroundecane  Ethyl 2-Cyclohexanoneacetate  N-Ethyl-N-(2-Hydroxyethyl)Stearamide  Aluminium Tri(Quinolin-8-Olate)  4,5,7,8-Tetrahydroxynaphthalene-1,2-Dion...  Ethyl N-[4-[4-(Ethoxycarbonylamino)Pheny...  3-Phenyl-1-Propanethiol  Thiophosphoric Acid O,O-Dimethyl O-[(3,4...  3-Allyl-5-[(1-Ethyl-1,4-Dihydro-4-Methyl...  Maleoylacetic Acid  3-(4-Pentoxybenzoyl)-3-bromoacrylic acid  4'-Ethoxybenzylidene-4-Cyanoaniline  Nucleocidin  Bis(Dodecylsulfanyl)-Methylarsane  (6E)-4-Methyl-6-[[3-Methyl-4-(3-Methylph...