Online Database of Chemicals from Around the World

3-Hydroxy-8-Methyl-N-[(3S,6S,9S,12S,15S,18S,21S,24S)-6,9,18,21-Tetrakis(2-Aminoethyl)-3,12,15-Tris(2-Methylpropyl)-2,5,8,11,14,17,20,23-Octaoxo-1,4,7,10,13,16,19,22-Octazacyclohexacos-24-Yl]Decanamide
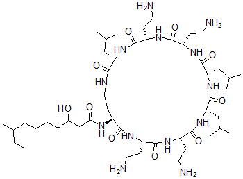
[CAS# 39342-08-0]

Suppliers
CAS#: 39342-08-0
Product: 3-Hydroxy-8-Methyl-N-[(3S,6S,9S,12S,15S,18S,21S,24S)-6,9,18,21-Tetrakis(2-Aminoethyl)-3,12,15-Tris(2-Methylpropyl)-2,5,8,11,14,17,20,23-Octaoxo-1,4,7,10,13,16,19,22-Octazacyclohexacos-24-Yl]Decanamide
No suppilers available for the product.
Identification
Name 3-Hydroxy-8-Methyl-N-[(3S,6S,9S,12S,15S,18S,21S,24S)-6,9,18,21-Tetrakis(2-Aminoethyl)-3,12,15-Tris(2-Methylpropyl)-2,5,8,11,14,17,20,23-Octaoxo-1,4,7,10,13,16,19,22-Octazacyclohexacos-24-Yl]Decanamide
Synonyms 3-Hydroxy-8-Methyl-N-[(3S,6S,9S,12S,15S,18S,21S,24S)-6,9,18,21-Tetrakis(2-Aminoethyl)-3,12,15-Triisobutyl-2,5,8,11,14,17,20,23-Octaoxo-1,4,7,10,13,16,19,22-Octazacyclohexacos-24-Yl]Decanamide; 3-Hydroxy-8-Methyl-N-[(3S,6S,9S,12S,15S,18S,21S,24S)-6,9,18,21-Tetrakis(2-Aminoethyl)-3,12,15-Triisobutyl-2,5,8,11,14,17,20,23-Octaketo-1,4,7,10,13,16,19,22-Octazacyclohexacos-24-Yl]Capramide; Antibiotic Em49
Molecular Structure CAS#: 39342-08-0, 3-Hydroxy-8-Methyl-N-[(3S,6S,9S,12S,15S,18S,21S,24S)-6,9,18,21-Tetrakis(2-Aminoethyl)-3,12,15-Tris(2-Methylpropyl)-2,5,8,11,14,17,20,23-Octaoxo-1,4,7,10,13,16,19,22-Octazacyclohexacos-24-Yl]Decanamide
Molecular Formula C49H93N13O10
Molecular Weight 1024.35
CAS Registry Number 39342-08-0
SMILES [C@H]1(NC(=O)[C@@H](NC(=O)[C@@H](NC(=O)[C@@H](NC(=O)CC(O)CCCCC(CC)C)CCNC(=O)[C@@H](NC(=O)[C@@H](NC(=O)[C@@H](NC(=O)[C@@H](NC1=O)CC(C)C)CCN)CCN)CC(C)C)CCN)CCN)CC(C)C
InChI 1S/C49H93N13O10/c1-9-31(8)12-10-11-13-32(63)27-41(64)55-37-18-23-54-42(65)38(24-28(2)3)60-45(68)35(16-21-52)56-44(67)34(15-20-51)59-48(71)39(25-29(4)5)62-49(72)40(26-30(6)7)61-46(69)36(17-22-53)57-43(66)33(14-19-50)58-47(37)70/h28-40,63H,9-27,50-53H2,1-8H3,(H,54,65)(H,55,64)(H,56,67)(H,57,66)(H,58,70)(H,59,71)(H,60,68)(H,61,69)(H,62,72)/t31?,32?,33-,34-,35-,36-,37-,38-,39-,40-/m0/s1
InChIKey XXJAQSYTQPWWKU-QVRBQHTBSA-N
Properties
Density 1.191g/cm3 (Cal.)
Boiling point 1348.656°C at 760 mmHg (Cal.)
Flash point 769.439°C (Cal.)
Market Analysis Reports
List of Reports Available for 3-Hydroxy-8-Methyl-N-[(3S,6S,9S,12S,15S,18S,21S,24S)-6,9,18,21-Tetrakis(2-Aminoethyl)-3,12,15-Tris(2-Methylpropyl)-2,5,8,11,14,17,20,23-Octaoxo-1,4,7,10,13,16,19,22-Octazacyclohexacos-24-Yl]Decanamide
Related Products
Formaldehyde, polymer with (chloromethyl...  New True Dentalloy  Chromium Chloride  4-Phenylbenzene-1,2,3-Triol  Antimony Hydroxide  4-Morpholin-4-Yl-1-Phenylbutan-1-One  Methyl 2-(1-Methyltetrazol-5-Yl)Sulfonyl...  Benzyl-Dimethyl-[2-[2-[4-(2,4,4-Trimethy...  Norgestrel mixed with ethynyl estradiol  N-(2-Diethylaminoethyl)-2,4,6-Trimethyl-...  2-(2,3,4-Trimethoxyphenyl)Ethanamine  (23E,25E,27E,29E,31E,33E,35E)-22-(4-Amin...  Sulfuric acid magnesium salt (1:1), mixt...  Lanthanum Trihydroxide  3-(2-Fluorophenothiazin-10-Yl)-N,N-Dimet...