Online Database of Chemicals from Around the World

Coenzyme A S-(2-methylenecyclopropaneacetate)
[CAS# 56898-43-2]

Suppliers
Achemica Switzerland Inquire  
+41 (24) 466-2929
contact@achemica.com
Chemical manufacturer since 2010
Identification
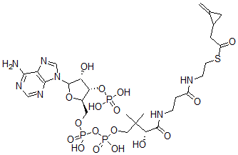
Name Coenzyme A S-(2-methylenecyclopropaneacetate)
Synonyms S-[2-[3-[[(2R)-4-[[[(2R,3S,4R)-5-(6-Aminopurin-9-Yl)-4-Hydroxy-3-Phosphonooxy-Tetrahydrofuran-2-Yl]Methoxy-Hydroxy-Phosphoryl]Oxy-Hydroxy-Phosphoryl]Oxy-2-Hydroxy-3,3-Dimethyl-Butanoyl]Amino]Propanoylamino]Ethyl] 2-(2-Methylenecyclopropyl)Ethanethioate; 2-(2-Methylenecyclopropyl)Ethanethioic Acid S-[2-[[3-[[(2R)-4-[[[(2R,3S,4R)-5-(6-Amino-9-Purinyl)-4-Hydroxy-3-Phosphonooxy-2-Tetrahydrofuranyl]Methoxy-Hydroxyphosphoryl]Oxy-Hydroxyphosphoryl]Oxy-2-Hydroxy-3,3-Dimethyl-1-Oxobutyl]Amino]-1-Oxopropyl]Amino]Ethyl] Ester; 2-(2-Methylenecyclopropyl)Ethanethioic Acid S-[2-[3-[[(2R)-4-[[[(2R,3S,4R)-5-(6-Aminopurin-9-Yl)-4-Hydroxy-3-Phosphonooxy-Tetrahydrofuran-2-Yl]Methoxy-Hydroxy-Phosphoryl]Oxy-Hydroxy-Phosphoryl]Oxy-2-Hydroxy-3,3-Dimethyl-Butanoyl]Amino]Propanoylamino]Ethyl] Ester
Molecular Structure CAS#: 56898-43-2, Coenzyme A S-(2-methylenecyclopropaneacetate)
Molecular Formula C27H42N7O17P3S
Molecular Weight 861.65
CAS Registry Number 56898-43-2
SMILES [N]3(C1O[C@@H]([C@@H](O[P](=O)(O)O)[C@H]1O)CO[P](O[P](OCC([C@@H](O)C(=O)NCCC(=O)NCCSC(=O)CC2C(C2)=C)(C)C)(=O)O)(=O)O)C4=C(N=C3)C(=NC=N4)N
InChI 1S/C27H42N7O17P3S/c1-14-8-15(14)9-18(36)55-7-6-29-17(35)4-5-30-25(39)22(38)27(2,3)11-48-54(45,46)51-53(43,44)47-10-16-21(50-52(40,41)42)20(37)26(49-16)34-13-33-19-23(28)31-12-32-24(19)34/h12-13,15-16,20-22,26,37-38H,1,4-11H2,2-3H3,(H,29,35)(H,30,39)(H,43,44)(H,45,46)(H2,28,31,32)(H2,40,41,42)/t15?,16-,20-,21-,22+,26?/m1/s1
InChIKey LRZLYYOBCYKACZ-YVOTYHKYSA-N
Properties
Density 1.87g/cm3 (Cal.)
Market Analysis Reports
List of Reports Available for Coenzyme A S-(2-methylenecyclopropaneacetate)
Related Products
4-[[[2-[[4-(4-Chlorophenyl)-5-(4-methylp...  Azanium 1,4-Dioxonaphthalene-2-Sulfonate  Silicic Acid, Zinc Zirconium Salt  2,4-Octadien-1-Ol  Fallacinol  1-Fluoroanthraquinone  2-Pyridin-2-Yl-1H-Indole-3-Carbaldehyde  5-Chloro-3-Ethyl-2-Hydroxybenzaldehyde O...  3-Ethyl-2-Hydroxy-5-Nitrobenzoic Acid  5-Chloro-3-Ethyl-2-Methoxybenzyl Alcohol  N-[2-Chloro-5-[(Hexadecylsulphonyl)Amino...  4-[1-[[2-Chloro-5-[4-(2,4-Dipentylphenox...  (3Aalpha,4beta,5beta,7beta,7aalpha)-Octa...  1-(4-Hydroxy-2,6,6-Trimethyl-1-Cyclohexe...  Phenanthrene-1,4-Dione