Online Database of Chemicals from Around the World

Acid Brown 121
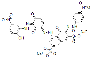
[CAS# 6487-04-3]

Suppliers
Biosynth AG. Switzerland Inquire  
+41 (71) 858-2020
welcome@biosynth.ch
Chemical manufacturer
International Laboratory Limited USA Inquire  
+1 (650) 278-9963
admin@intlab.org
Chemical manufacturer since 2002
Identification
Name Acid Brown 121
Synonyms Disodium (3Z)-5-[(N'e)-N'-[(5Z)-5-[(2-Hydroxy-5-Nitro-Phenyl)Hydrazono]-4,6-Dioxo-1-Cyclohex-2-Enylidene]Hydrazino]-3-[(4-Nitrophenyl)Hydrazono]-4-Oxo-Naphthalene-2,7-Disulfonate; Disodium (3Z)-5-[(N'e)-N'-[(5Z)-5-[(2-Hydroxy-5-Nitrophenyl)Hydrazono]-4,6-Dioxo-1-Cyclohex-2-Enylidene]Hydrazino]-3-[(4-Nitrophenyl)Hydrazono]-4-Oxonaphthalene-2,7-Disulfonate; Disodium (3Z)-5-[(N'e)-N'-[(5Z)-5-[(2-Hydroxy-5-Nitro-Phenyl)Hydrazono]-4,6-Diketo-1-Cyclohex-2-Enylidene]Hydrazino]-4-Keto-3-[(4-Nitrophenyl)Hydrazono]Naphthalene-2,7-Disulfonate
Molecular Structure CAS#: 6487-04-3, Acid Brown 121
Molecular Formula C28H16N8Na2O14S2
Molecular Weight 798.58
CAS Registry Number 6487-04-3
EINECS 229-361-4
SMILES C3=C([S]([O-])(=O)=O)C=C(N\N=C2\C(=O)\C(=N/NC1=C(O)C=CC(=C1)[N+]([O-])=O)C(=O)C=C2)C5=C3C=C([S]([O-])(=O)=O)\C(=N/NC4=CC=C([N+]([O-])=O)C=C4)C5=O.[Na+].[Na+]
InChI 1S/C28H18N8O14S2.2Na/c37-21-7-5-16(36(43)44)11-19(21)31-33-25-22(38)8-6-18(27(25)39)30-32-20-12-17(51(45,46)47)9-13-10-23(52(48,49)50)26(28(40)24(13)20)34-29-14-1-3-15(4-2-14)35(41)42;;/h1-12,29,31-32,37H,(H,45,46,47)(H,48,49,50);;/q;2*+1/p-2/b30-18+,33-25-,34-26+;;
InChIKey QKJCSWHWJMGJIX-CKLXFHSRSA-L
Market Analysis Reports
List of Reports Available for Acid Brown 121
Related Products
Acid Brown 122  9-Ethoxyanthracene  N-(3-(4-(2-Methylpropoxy)Phenyl)-3-Oxopr...  4H-Cyclopenta(Def)Phenanthren-4-Ol  Coenzyme F420  (1R,2R)-2-[(1aS,8aS)-4beta-(3-Furyl)-Oct...  Serratagenic Acid  4-L-Norleucine-alpha-Melanotropin  [R-(R*,S*)]-L-Tyrosyl-D-methionyl-N-[2-[...  [R-(R*,S*)]-L-Tyrosyl-D-threonyl-N-[2-[4...  Glutathione-S-Acetaminophen Conjugate  12 beta-Bromoacetoxy-4-Estrene-3,17-Dion...  2-[4-[2-[4-(3-Methyl-1,2,4-Oxadiazol-5-Y...  N'-[3-(Trimethoxysilyl)Propyl]-N-[(Vinyl...  4-(9-Acridinylamino)Benzoic Acid