Online Database of Chemicals from Around the World

1,6-Dichloro-1,6-Dideoxyfructose
[CAS# 69414-08-0]

Suppliers
CAS#: 69414-08-0
Product: 1,6-Dichloro-1,6-Dideoxyfructose
No suppilers available for the product.
Identification
Name 1,6-Dichloro-1,6-Dideoxyfructose
Synonyms (3S,4S,5S)-1,6-Dichloro-3,4,5-Trihydroxy-Hexan-2-One; 1,6-Dichloro-1,6-Dideoxyfructose; 1,6-Dideoxy-1,6-Dichlorofructose
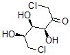
Molecular Structure CAS#: 69414-08-0, 1,6-Dichloro-1,6-Dideoxyfructose
Molecular Formula C6H10Cl2O4
Molecular Weight 217.05
CAS Registry Number 69414-08-0
SMILES [C@@H](C(CCl)=O)([C@@H]([C@@H](CCl)O)O)O
InChI 1S/C6H10Cl2O4/c7-1-3(9)5(11)6(12)4(10)2-8/h3,5-6,9,11-12H,1-2H2/t3-,5-,6-/m1/s1
InChIKey MLQSSVPAOPJIFW-UYFOZJQFSA-N
Market Analysis Reports
List of Reports Available for 1,6-Dichloro-1,6-Dideoxyfructose
Related Products
2-Methylvaleramide  1-Azetidinepropanoic Acid Butyl Ester  Ethylene glycol bis(chloroacetate)  2-[2,2-Bis-(1H-Indol-3-Yl)-Ethyl]-Phenyl...  Tetrafluorooxirane  N-Methyl-4-(4-Nitrophenyl)Butan-1-Amine,...  Heptabromo-9H-Fluorene  Myristyl Hydroxyethylimidazoline  6-Methyl-2,4(1H,3H)-Pyrimidinedione comp...  9-(Dimethoxyphosphoryl)-9H-Fluorene-1-Ca...  6 alpha-Tigloyloxychaparrinone  O,O'-Diacetylhematoporphyrin  2,3-Dihydro-1-Hydroxy-1H-Phosphole 1-Oxi...  1-Phenylurazole  Prifelone