Online Database of Chemicals from Around the World

6-O-(3-Hydroxy-2-Docosylhexacosanoyl)Muramyl Dipeptide
[CAS# 81649-55-0]

Suppliers
CAS#: 81649-55-0
Product: 6-O-(3-Hydroxy-2-Docosylhexacosanoyl)Muramyl Dipeptide
No suppilers available for the product.
Identification
Name 6-O-(3-Hydroxy-2-Docosylhexacosanoyl)Muramyl Dipeptide
Synonyms (2R)-5-Amino-2-[[(2S)-2-[2-[(2S,3R,4R,5S,6R)-3-[(2-Docosyl-3-Hydroxy-Hexacosanoyl)Amino]-2,5-Dihydroxy-6-(Hydroxymethyl)Tetrahydropyran-4-Yl]Oxypropanoylamino]Propanoyl]Amino]-5-Oxo-Pentanoic Acid; (2R)-5-Amino-2-[[(2S)-2-[[2-[[(2S,3R,4R,5S,6R)-3-[(2-Docosyl-3-Hydroxy-1-Oxohexacosyl)Amino]-2,5-Dihydroxy-6-(Hydroxymethyl)-4-Tetrahydropyranyl]Oxy]-1-Oxopropyl]Amino]-1-Oxopropyl]Amino]-5-Oxopentanoic Acid; (2R)-5-Amino-2-[[(2S)-2-[2-[(2S,3R,4R,5S,6R)-3-[(2-Behenyl-3-Hydroxy-Hexacosanoyl)Amino]-2,5-Dihydroxy-6-Methylol-Tetrahydropyran-4-Yl]Oxypropanoylamino]Propanoyl]Amino]-5-Keto-Valeric Acid
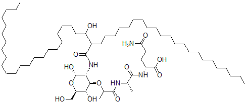
Molecular Structure CAS#: 81649-55-0, 6-O-(3-Hydroxy-2-Docosylhexacosanoyl)Muramyl Dipeptide
Molecular Formula C65H124N4O12
Molecular Weight 1153.71
CAS Registry Number 81649-55-0
SMILES [C@@H](C(=O)O)(NC([C@@H](NC(C(C)O[C@H]1[C@H](O)[C@@H](CO)O[C@H](O)[C@@H]1NC(C(C(CCCCCCCCCCCCCCCCCCCCCCC)O)CCCCCCCCCCCCCCCCCCCCCC)=O)=O)C)=O)CCC(=O)N
InChI 1S/C65H124N4O12/c1-5-7-9-11-13-15-17-19-21-23-25-27-29-31-33-35-37-39-41-43-45-47-55(71)53(46-44-42-40-38-36-34-32-30-28-26-24-22-20-18-16-14-12-10-8-6-2)63(76)69-58-60(59(73)56(50-70)81-65(58)79)80-52(4)62(75)67-51(3)61(74)68-54(64(77)78)48-49-57(66)72/h51-56,58-60,65,70-71,73,79H,5-50H2,1-4H3,(H2,66,72)(H,67,75)(H,68,74)(H,69,76)(H,77,78)/t51-,52?,53?,54+,55?,56+,58+,59+,60+,65-/m0/s1
InChIKey BGKQFDBPGUSNRD-IMFIRNKVSA-N
Properties
Density 1.075g/cm3 (Cal.)
Boiling point 1185.227°C at 760 mmHg (Cal.)
Flash point 670.601°C (Cal.)
Market Analysis Reports
List of Reports Available for 6-O-(3-Hydroxy-2-Docosylhexacosanoyl)Muramyl Dipeptide
Related Products
alpha-Hydroxyisobutyric Acid Butyl Ester  Norcocaine Nitroxide  2-Isobutyl-3-Oxo-4-Chloro-2-Butylcarbona...  1-Morpholinomethylnaphthalene-2,7-Diol  beta-Cyanoethyl-Adenosine 5'-(1-Thiodiph...  Muramoyl-Alanylisoglutamine  Silenoside A  Propylnitrosourea  1-(2,2-Dimethylpropionyloxy)Ethyl 3-Hydr...  5-O-Mycaminosylprotylonolide  N-(3,5-Dichloro-2-Hydroxyphenyl)-2-Hydro...  3-Aminotyramine  Lead Malate  2-Methylallyl Isobutyrate  Furanogermenone