Online Database of Chemicals from Around the World

S-(3-Oxobutyl)Coenzyme A
[CAS# 81790-81-0]

Suppliers
CAS#: 81790-81-0
Product: S-(3-Oxobutyl)Coenzyme A
No suppilers available for the product.
Identification
Name S-(3-Oxobutyl)Coenzyme A
Synonyms [(2R,3S,4R,5R)-5-(6-Aminopurin-9-Yl)-4-Hydroxy-3-Phosphonooxy-Tetrahydrofuran-2-Yl]Methyl [Hydroxy-[(3R)-3-Hydroxy-2,2-Dimethyl-4-Oxo-4-[[3-Oxo-3-[2-(3-Oxobutylsulfanyl)Ethylamino]Propyl]Amino]Butoxy]Phosphoryl] Hydrogen Phosphate; [(2R,3S,4R,5R)-5-(6-Amino-9-Purinyl)-4-Hydroxy-3-Phosphonooxy-2-Tetrahydrofuranyl]Methyl [Hydroxy-[(3R)-3-Hydroxy-2,2-Dimethyl-4-Oxo-4-[[3-Oxo-3-[2-(3-Oxobutylthio)Ethylamino]Propyl]Amino]Butoxy]Phosphoryl] Hydrogen Phosphate; [(2R,3S,4R,5R)-5-(6-Aminopurin-9-Yl)-4-Hydroxy-3-Phosphonooxy-Tetrahydrofuran-2-Yl]Methyl [Hydroxy-[(3R)-3-Hydroxy-4-Keto-4-[[3-Keto-3-[2-(3-Ketobutylthio)Ethylamino]Propyl]Amino]-2,2-Dimethyl-Butoxy]Phosphoryl] Hydrogen Phosphate
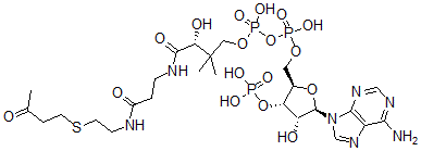
Molecular Structure CAS#: 81790-81-0, S-(3-Oxobutyl)Coenzyme A
Molecular Formula C25H42N7O17P3S
Molecular Weight 837.62
CAS Registry Number 81790-81-0
SMILES [C@H]1(O[C@@H]([C@@H](O[P](=O)(O)O)[C@H]1O)CO[P](O[P](OCC([C@@H](O)C(=O)NCCC(=O)NCCSCCC(=O)C)(C)C)(=O)O)(=O)O)[N]2C3=C(N=C2)C(=NC=N3)N
InChI 1S/C25H42N7O17P3S/c1-14(33)5-8-53-9-7-27-16(34)4-6-28-23(37)20(36)25(2,3)11-46-52(43,44)49-51(41,42)45-10-15-19(48-50(38,39)40)18(35)24(47-15)32-13-31-17-21(26)29-12-30-22(17)32/h12-13,15,18-20,24,35-36H,4-11H2,1-3H3,(H,27,34)(H,28,37)(H,41,42)(H,43,44)(H2,26,29,30)(H2,38,39,40)/t15-,18-,19-,20+,24-/m1/s1
InChIKey CDRPUNPLIFNCAJ-DJVIHCHSSA-N
Properties
Density 1.831g/cm3 (Cal.)
Market Analysis Reports
List of Reports Available for S-(3-Oxobutyl)Coenzyme A
Related Products
Dihydro-5-Nitroso-2,4,6-Trimethyl-4H-1,3...  trans-Hexahydro-5-(1-Methylethyl)-4H-Cyc...  Allylthiocarbamic Acid O-Ethyl Ester  N-(Diazoacetyl)-Glycineamide  Xamoterol Hemifumarate  2-Chloro-1-(5-Methyl-2-Furanyl)-Ethanone  3-Bromo-5-Ethoxy-4-Methoxybenzaldehyde  N-(3-Phenylpropionyl)Glycine Methylthio ...  15-(4-Iodophenyl)-6-tellurapentadecanoic...  1-Chroman-4-Yl-4-(2-Methoxyphenyl)Pipera...  1-(Chroman-2-Ylmethyl)-4-Phenyl-Piperazi...  2H-Chromen-2-Yl-Ethyl-Methyl-Phenylmetho...  2,5-Dibromo-L-Tyrosine  2-Methyl-3-(3,7,11,15-Tetramethylhexadec...  1-(1,3-Dihydro-3-oxo-1-isobenzofuranyl)-...