Online Database of Chemicals from Around the World

1-[[4-[[4-[bis[2-hydroxy-3-[4-[1-methyl-1-[4-(oxiran-2-ylmethoxy)phenyl]ethyl]phenoxy]propyl]amino]phenyl]methyl]phenyl]-[2-hydroxy-3-[4-[1-methyl-1-[4-(oxiran-2-ylmethoxy)phenyl]ethyl]phenoxy]propyl]amino]-3-[4-[1-methyl-1-[4-(oxiran-2-ylmethoxy)phenyl]ethyl]phenoxy]propan-2-ol
[CAS# 97552-64-2]

Suppliers
CAS#: 97552-64-2
Product: 1-[[4-[[4-[bis[2-hydroxy-3-[4-[1-methyl-1-[4-(oxiran-2-ylmethoxy)phenyl]ethyl]phenoxy]propyl]amino]phenyl]methyl]phenyl]-[2-hydroxy-3-[4-[1-methyl-1-[4-(oxiran-2-ylmethoxy)phenyl]ethyl]phenoxy]propyl]amino]-3-[4-[1-methyl-1-[4-(oxiran-2-ylmethoxy)phenyl]ethyl]phenoxy]propan-2-ol
No suppilers available for the product.
Identification
Name 1-[[4-[[4-[bis[2-hydroxy-3-[4-[1-methyl-1-[4-(oxiran-2-ylmethoxy)phenyl]ethyl]phenoxy]propyl]amino]phenyl]methyl]phenyl]-[2-hydroxy-3-[4-[1-methyl-1-[4-(oxiran-2-ylmethoxy)phenyl]ethyl]phenoxy]propyl]amino]-3-[4-[1-methyl-1-[4-(oxiran-2-ylmethoxy)phenyl]ethyl]phenoxy]propan-2-ol
Synonyms 1,1',1'',1'''-[methylenebis(p-phenylenenitrilo)]tetrakis[3-[4-[1-methyl-1-[4-(oxiranylmethoxy)phenyl]ethyl]phenoxy]propan-2-ol]
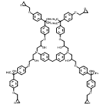
Molecular Structure CAS#: 97552-64-2, 1-[[4-[[4-[bis[2-hydroxy-3-[4-[1-methyl-1-[4-(oxiran-2-ylmethoxy)phenyl]ethyl]phenoxy]propyl]amino]phenyl]methyl]phenyl]-[2-hydroxy-3-[4-[1-methyl-1-[4-(oxiran-2-ylmethoxy)phenyl]ethyl]phenoxy]propyl]amino]-3-[4-[1-methyl-1-[4-(oxiran-2-ylmethoxy)phenyl]ethyl]phenoxy]propan-2-ol
Molecular Formula C97H110N2O16
Molecular Weight 1559.92
CAS Registry Number 97552-64-2
EINECS 307-117-9
SMILES CC(C)(c1ccc(cc1)OCC(O)CN(CC(O)COc2ccc(cc2)C(C)(C)c3ccc(cc3)OCC4CO4)c5ccc(cc5)Cc6ccc(cc6)N(CC(O)COc7ccc(cc7)C(C)(C)c9ccc(OCC8CO8)cc9)CC(O)COc%10ccc(cc%10)C(C)(C)c%12ccc(OCC%11CO%11)cc%12)c%14ccc(OCC%13CO%13)cc%14
InChI 1S/C97H110N2O16/c1-94(2,72-21-41-86(42-22-72)108-58-90-62-112-90)68-13-33-82(34-14-68)104-54-78(100)50-98(51-79(101)55-105-83-35-15-69(16-36-83)95(3,4)73-23-43-87(44-24-73)109-59-91-63-113-91)76-29-9-66(10-30-76)49-67-11-31-77(32-12-67)99(52-80(102)56-106-84-37-17-70(18-38-84)96(5,6)74-25-45-88(46-26-74)110-60-92-64-114-92)53-81(103)57-107-85-39-19-71(20-40-85)97(7,8)75-27-47-89(48-28-75)111-61-93-65-115-93/h9-48,78-81,90-93,100-103H,49-65H2,1-8H3
InChIKey WIMBSVAMVGTRRO-UHFFFAOYSA-N
Properties
Density 1.226g/cm3 (Cal.)
Market Analysis Reports
List of Reports Available for 1-[[4-[[4-[bis[2-hydroxy-3-[4-[1-methyl-1-[4-(oxiran-2-ylmethoxy)phenyl]ethyl]phenoxy]propyl]amino]phenyl]methyl]phenyl]-[2-hydroxy-3-[4-[1-methyl-1-[4-(oxiran-2-ylmethoxy)phenyl]ethyl]phenoxy]propyl]amino]-3-[4-[1-methyl-1-[4-(oxiran-2-ylmethoxy)phenyl]ethyl]phenoxy]propan-2-ol
Related Products
2-(5-methylheptanoyloxy)propyl 5-methylh...  Bis[Tris(2-Hydroxyethyl)Ammonium] Nitrog...  bis(2-hydroxyethyl)ammonium; 2-nitrohept...  bis(2-hydroxyethyl)ammonium; 2-nitropent...  potassium docosyl phosphate  sodium docosyl phosphate  4-Propylphenyl (1r,1's,4r,4'S)-4'-propyl...  3,4-Dideoxy-1-C-[(1S,2R,5R,7R,8E,10E,12R...  4-(4-Methoxybenzoyl)phenyl acetate  4H-Pyrido[2,3-c]pyrrolo[1,2-e][1,2,5]tri...  Methyl spiro[2.4]hepta-4,6-diene-1-carbo...  1-(Spiro[2.4]hepta-4,6-dien-1-yl)ethanon...  5-Isopropyl-2,2-dimethyl-1,3-dioxan-5-am...  Methyl 1-oxo-2-phenyl-1H-inden-3-yl carb...  5,6-Dimethyl-1-(5-O-phosphono-alpha-D-ri...