Online Database of Chemicals from Around the World

N-Acetylboromycin
[CAS# 99292-90-7]

Suppliers
CAS#: 99292-90-7
Product: N-Acetylboromycin
No suppilers available for the product.
Identification
Name N-Acetylboromycin
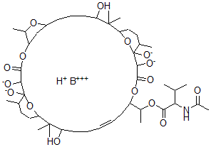
Molecular Structure CAS#: 99292-90-7, N-Acetylboromycin
Molecular Formula C47H76BNO16
Molecular Weight 921.92
CAS Registry Number 99292-90-7
SMILES C3(C1OC([O-])(C(CC1)C)C([O-])C(OC(C(OC(=O)C(NC(=O)C)C(C)C)C)C/C=C/CCC(O)C(C4OC([O-])(C([O-])C(OC2C(OC(C2)CCCC3O)C)=O)C(CC4)C)(C)C)=O)(C)C.[B+3].[H+]
InChI 1S/C47H75NO16.B/c1-25(2)38(48-30(7)49)41(54)60-28(5)32-17-13-12-14-18-34(50)44(8,9)36-22-20-27(4)47(58,63-36)40(53)43(56)62-33-24-31(59-29(33)6)16-15-19-35(51)45(10,11)37-23-21-26(3)46(57,64-37)39(52)42(55)61-32;/h12-13,25-29,31-40,50-51H,14-24H2,1-11H3,(
InChIKey XNTMXHINCZTKAT-UEIGIMKUSA-O
Properties
Boiling point 988.4°C at 760 mmHg (Cal.)
Flash point 551.6°C (Cal.)
Market Analysis Reports
List of Reports Available for N-Acetylboromycin
Related Products
N-Acetyl-13-Dihydrodaunomycin  1-Oleoyl-2-Docosahexaenoyl Phosphatidylc...  N,N-Diethyl-6-Nitro-4H-1,3,2-Benzodioxap...  4-(6-Nitro-4H-1,3,2-Benzodioxaphosphorin...  N-Cyclohexyl-6-Nitro-4H-1,3,2-Benzodioxa...  1-(6-Nitro-4H-1,3,2-Benzodioxaphosphorin...  1-(6-Nitro-4H-1,3,2-Benzodioxaphosphorin...  N-Heptadecyl-6-Nitro-4H-1,3,2-Benzodioxa...  N-(1-Methylethyl)-6-Nitro-4H-1,3,2-Benzo...  N,N-Dimethyl-6-Nitro-4H-1,3,2-Benzodioxa...  (5E)-N,N,6-Trimethyl-5-[[3-(trifluoromet...  Manganese(3+) acetate  1,3-Dihydro-3-(Acetyloxy)-7-Chloro-2H-In...  5-Bromo-3-Hydroxy-2-Indolinone  2-Chloro-4-Nitrophenyl-Maltopentaoside