Online Database of Chemicals from Around the World

5-Methyl-3-[2,8,10,13-Tetrahydroxy-13-[5-(1-Hydroxytridecyl)Oxolan-2-Yl]Tridecyl]-5H-Furan-2-One
[CAS# 167172-79-4]

Suppliers
CAS#: 167172-79-4
Product: 5-Methyl-3-[2,8,10,13-Tetrahydroxy-13-[5-(1-Hydroxytridecyl)Oxolan-2-Yl]Tridecyl]-5H-Furan-2-One
No suppilers available for the product.
Identification
Name 5-Methyl-3-[2,8,10,13-Tetrahydroxy-13-[5-(1-Hydroxytridecyl)Oxolan-2-Yl]Tridecyl]-5H-Furan-2-One
Synonyms 5-Methyl-3-[2,8,10,13-Tetrahydroxy-13-[5-(1-Hydroxytridecyl)Tetrahydrofuran-2-Yl]Tridecyl]-5H-Furan-2-One; 5-Methyl-3-[2,8,10,13-Tetrahydroxy-13-[5-(1-Hydroxytridecyl)-2-Tetrahydrofuranyl]Tridecyl]-5H-Furan-2-One; 2(5H)-Furanone, 5-Methyl-3-(2,8,10,13-Tetrahydroxy-13-(Tetrahydro-5-(1-Hydroxytridecyl)-2-Furanyl)Tridecyl)-
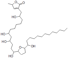
Molecular Structure CAS#: 167172-79-4, 5-Methyl-3-[2,8,10,13-Tetrahydroxy-13-[5-(1-Hydroxytridecyl)Oxolan-2-Yl]Tridecyl]-5H-Furan-2-One
Molecular Formula C35H64O8
Molecular Weight 612.89
CAS Registry Number 167172-79-4
SMILES C(C1=CC(OC1=O)C)C(O)CCCCCC(O)CC(O)CCC(O)C2OC(CC2)C(O)CCCCCCCCCCCC
InChI 1S/C35H64O8/c1-3-4-5-6-7-8-9-10-11-15-18-31(39)33-21-22-34(43-33)32(40)20-19-30(38)25-29(37)17-14-12-13-16-28(36)24-27-23-26(2)42-35(27)41/h23,26,28-34,36-40H,3-22,24-25H2,1-2H3
InChIKey QAIKIRDKCUWJQV-UHFFFAOYSA-N
Properties
Density 1.082g/cm3 (Cal.)
Boiling point 785.495°C at 760 mmHg (Cal.)
Flash point 236.596°C (Cal.)
Market Analysis Reports
List of Reports Available for 5-Methyl-3-[2,8,10,13-Tetrahydroxy-13-[5-(1-Hydroxytridecyl)Oxolan-2-Yl]Tridecyl]-5H-Furan-2-One
Related Products
Tubercidin 5'-phosphate  6,6-Dimethyl-6H-Dibenzo[b,d]Pyran-1,3-Di...  7,8,9,10-Tetrahydro-6,6-Dimethyl-6H-Dibe...  7,8,9,10-Tetrahydro-6,6-Dimethyl-6H-Dibe...  7,8,9,10-Tetrahydro-6,6-Dimethyl-2-Chlor...  7,8,9,10-Tetrahydro-6,6-Dimethyl-2-Hexyl...  3-Methyl-2H-1,3-Benzoxazine-2,4(3H)-Dion...  Thioacetic Acid S-[2-(Trimethoxysilyl)Et...  S-Adenosyl-2-Methylmethionine  4-Benzyl-2,5-Dihydrofuran-2-One  cis-6-(Isopropyl)-3-Methylcyclohex-2-En-...  trans-6-(Isopropyl)-3-Methylcyclohex-2-E...  Trimethyl(Oxiran-2-Yl)Silane  para-Hexadecylbenzenesulphonic acid  Propyl 5-[4-(2,4,7-Triaminopteridin-6-Yl...